Estela Ambriz Delgado
Luego de meses de presiones, amenazas, hostigamiento, negativa a entrega de tarjetas, y bloqueo de cuentas del Fondo de Aportaciones de Infraestructura Social de Pueblos Indígenas y Afromexicanos (FAISPIAM), hay posibilidades de que dos comunidades sean orilladas a desistir de sus amparos contra el recorte al presupuesto, que en el estado asciende a más de 56 millones de pesos.
De acuerdo con información de integrantes del Consejo Nacional de Pueblos Indígenas y Juan Felipe Cisneros Sánchez, del Observatorio Indígena Mesoamericano (OIM), a través de presiones en los comités creados para la administración del recurso, la Secretaría de Bienestar llegó a un convenio de dos de las comunidades amparadas en el que, si les liberan los recursos en máximo 10 días, se desistirán.
Cisneros Sánchez apuntó que desde que 12 comunidades interpusieron amparos para defenderse en contra del recorte presupuestal aplicado en abril debido a que la Secretaría del Bienestar no tomó en cuenta el Catálogo Nacional de Pueblos y Comunidades Indígenas, los Servidores de la Nación fueron instruidos para presionar a los firmantes de esos recursos legales y se desistieran.
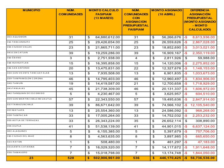
La omisión del Bienestar costó 56 millones 736 mil 536 pesos a las 536 comunidades de 23 municipios del estado, pues el 13 de marzo se les asignaron 502 millones 906 mil 961 pesos, y el 10 de abril se los redujeron a 446 millones 170 mil 425.
El activista afirmó que, pese a la situación, tanto el delegado de la secretaría, Guillermo Morales, como el representante estatal del Instituto Nacional de Pueblos Indígenas (INPI), Mario Godoy Ramos, dieron instrucciones a su personal de ejercer presión, amenazas, hostigamiento, negar entrega de tarjetas, bloqueo de cuentas bancarias y chantajes.
“Con estos desistimientos se demuestra que quienes deberían velar por la protección de los derechos, como lo es Bienestar y el INPI, hacen todo lo contrario”.
Respecto a lo que pudiera motivar estas acciones de los funcionarios, consideró que saben que si se llega a una sentencia quedarían evidencias claras y legales de los agravios, así como actos de violación a los derechos indígenas que en los amparos se señalan.
“Si imaginamos el escenario, de que el Poder Judicial les otorgue una sentencia a las comunidades, alguien tendría que caer”.
En este sentido recordó que la omisión del Bienestar, al no tomar en cuenta el catálogo para determinar la distribución presupuestal del FAISPIAM, dejó fuera diversas comunidades, y ante la inconformidad se emitió una fórmula que permitiera “estirar” el presupuesto, pues solicitar una ampliación hubiera evidenciado la ineptitud de la secretaría y el INPI.
“Por algo el Juzgado Quinto y Séptimo de Ciudad Valles dieron admisión a los 13 juicios de amparo, es porque encontró materia legal para darles curso, y hasta suspensiones definitivas y provisionales”.
Al respecto, subrayó que recurrentemente Bienestar y el INPI han incumplido, y a la fecha han desacatado por lo menos cinco requerimientos judiciales, sin ser multados por la nueva jueza María Lucrecia Martínez Galván, del Juzgado Séptimo de Distrito, asentado en Ciudad Valles, por lo que denuncian su permisividad a tales violaciones.
La magnitud del recorte
De las localidades amparadas, hay algunas cuyos municipios presentan las afectaciones más significativas al presupuesto del FAISPIAM como Tepetate, que es una de las 39 comunidades de municipio de Tamazunchale al que le redujeron 12 millones 105 mil 540 pesos.
Le siguen Tampate y Tampaxal, dos del total de 31 comunidades del municipio Aquismón cuya reducción fue de 8 millones 613 mil 936 pesos; Piaxtla, La Garza, y Tamarindo, de las 25 comunidades del municipio Tancanhuitz, al que se le recortaron 2 millones 867 mil 028.
Asimismo, Acatitla, una de las 57 comunidades de San Martín Chalchicuautla con un recorte de 2 millones 847 914 pesos; Coromohon, del municipio Tanlajás, el cual tiene 46 comunidades a las que se les quitó 1 millón 606 mil 972; y Tocoy, San Pedro, Tanjasnec, y Tanchahuil, de las 22 comunidades del municipio de San Antonio, 1 millón 148 mil 153 pesos.
Además de los casos mencionados, otros que se vieron mayormente afectados con la reducción del presupuesto fueron Xilitla, con menos 6 millones 637 mil 124 pesos; Ciudad Valles, con 3 millones 013 mil 021; Coxcatlán, con 2 millones 350 mil 119; Huehuetlán, 2 millones 275 mil 852; y Tampacán, con 2 millones 253 mil 232 pesos, entre otros.






